Exercice 1. (branche commerciale)
L’espace est muni d’un repère orthonormé.
On note D la droite passant par les points A(3 ; −3 ; 0) et B(4 ; −1 ; −1).
1. Démontrer qu’une représentation paramétrique de la droite D sachant que t appartient à R , est :
x = 3+ t
y = −3+2t
z = −t.
Coordonnées du vecteur AB, vecteur directeur de la droite D.
4-3 ; -1+3 ; -1-0 soit : 1 ; 2 ; -1.
Représentation paramétrique de la droite D :
x =t+x
A = t+3.
y = 2t+y
A = 2t-3.
z = -t+z
A = -t.
2. On note D′ la droite ayant pour représentation paramétrique, sachant que k est réel :
x = 3k +1
y = −k +3
z = k −2
a. Donner un vecteur directeur de la droite D′.
3 ; -1 ; 1.
b. Démontrer que les droites D′ et D sont orthogonales.
c. Démontrer que les droites D′ et D ne sont pas sécantes.
Dans l'hypothèse ou ces droites sont sécantes :
t+3 = 3k+1 ; t = 3k-2.
2t-3 = -k+3 ; 6k-4-3=-k+3 ; 7k=10 ; k = 10 / 7. Par suite t = 30 / 7-2 = 16 /7.
-t =k-2 ; t = 2-k= 2-10 / 7 = 4 / 7, ce qui est imposible.
L'hypothèse étant fausse, les droites D et D' ne sont pas sécantes.
3. On considère le plan P d’équation 2x + y +4z −3 =0
a. Démontrer le que le plan P contient la droite D.
Dans l'hypothèse ou le plan P contient la droite D :
2xA + yA +4zA −3 =0.
2*3+(-3)+4*0-3 =0 est vérifié.
2xB + yB +4zB −3 =0.
2*4-1-4*1-3=0 est vérifié.
Donc le plan P contient la droite D.
b. Démontrer que le plan P et la droite D′ se coupent en un point C dont vous préciserez les coordonnées.
Dans l'hypothèse ou le plan P et la droite D' se coupent en C, il existe une valeur unique de k.
2xC + yC +4zC −3 =0.
xC = 3k +1
yC = −k +3
zC = k −2.
2(3k+1)-k+3+4(k-2)-3 =0
9k = 6 ; k =2/3.
Donc le plan P et la droite D' se coupent en C.
xC = 3k +1=2+1=3.
yC = −k +3=-2/3+3=7/3.
zC = k −2= 2/3-2=-4/3..
4. On considère la droite
D passant par le point C et de vecteur directeur v (1 ; 2 ; −1)
a. Démontrer que les droites
D et D sont strictement parallèles.

Le point C appartient à la droite
D par définition.
De plus le point C appartient à la droite D
′
.
Les droites D et D
′ ne sont pas sécantes, le point
C n’appartient donc pas à la droite D.
Par suite les droites
D et D ne sont
pas confondues.
Les droites
D et D sont parallèles non confondues, donc elles sont strictement
parallèles.
b. Démontrer que les droites
D et D′ sont sécantes.
Le point C appartenait à
D et à D
′ ; le point C appartient donc à
leur intersection.
D et D sont parallèles, et D et D
′
sont orthogonales, donc
D et D
′
sont orthogonales. Elles ne sont pas confondues.
Les droites
D et D ne sont pas confondues et possèdent le point C en commun, donc
elles sont sécantes en C.
Exercice 1. (branche surveillance)
Dans une fête foraine, un ticket enfant permet d’effectuer autant de tirs successifs qu’il est nécessaire pour crever un ballon.
À chacun de ses tirs, on considère qu’un enfant a la probabilité 0,2 de crever le ballon.
Le tireur s’arrête quand le ballon est crevé.
1. a. Quelle est la probabilité qu’au bout de deux tirs le ballon soit intact ?
On note C l'événement "le ballon est crevé".
0,8 x0,8 = 0,64.
b. Quelle est la probabilité que deux tirs suffisent pour crever le ballon?
C'est l'événement contraire de l'événement " le ballon est intact après 2 tirs".
1-0,64 = 0,36.
c. Quelle est la probabilité p que n tirs suffisent pour crever le ballon ?
La probabilité de l'événement " au bout de n tirs le ballon est intact " est : 0,8
n.
La probabilité de l'événement contraire " au bout de n tirs le ballon est crevé" est p = 1-0,8
n.
2. Un deuxième stand de tir propose la règle suivante :
- le joueur lance un dé tétraédrique régulier dont les faces sont
numérotées de 1 à 4 (la face obtenue avec un tel dé est la face cachée).
- Soit k le numéro de la face obtenue, le joueur peut réaliser au maximum k tirs pour crever le ballon.
Déterminer la probabilité de crever le ballon.
Pour indications 0,83 = 0,512 et 0,84 ≈ 0,41.
On appelle D la variable aléatoire donnant le résultat du lancer du dé.
Le dé étant régulier, on aura : P(D = 1) = P(D = 2) = P(D = 3) = P(D =
4 ;
il y a quatre résultats possibles, chaque de ces probabilités est égale
à 0,25.
La probabilité que k tirs suffisent pour crever le ballon
est p
k = 1−0,8
k.
D’après la formule des probabilités totales, la probabilité de crever le ballon est :
P(D = 1)× p
1 +P(D = 2)× p
2 +P(D = 3)× p
3 +P(D = 4)× p
4 = 0,25(
p
1 + p
2 + p
3 + p
4 )
=0,25(
0,2+0,36+(
1−0,8
3)
+ (
1−0,8
4)) ~ 0,25(0,2+0,36+1−0,512+1−0,41) ~0,25
×1,638 ≈ 0,41.
Exercice 2.(branche commerciale).
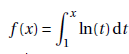
Soit f la fonction définie sur l’intervalle ]0 ; +∞[ par
f (x) = x −ln(x) / x
2 .
On appelle C sa courbe représentative dans un repère orthonormé
1. Soit u la fonction sur l’intervalle ]0 ; +∞[ par : u(x) = x
3 −1+2ln(x).
a. Étudier le sens de variation de la fonction u sur l’intervalle ]0 ; +∞[.
u'(x) = 3x
2+2/x >0.
u(x) est strictement croissante sur ]0 ; +oo[.
b. Calculer u(1) et en déduire le signe de u(x) pour x appartenant à ]0 ; +∞[.
u(1)=1-1+2ln(1) =0.
u(x) >0 sur ]1 ; +oo[ ; u(x) < 0 sur ]0 ; 1[.
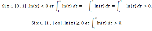
2. a. Déterminer la limite de f en 0 et en +∞.
En zéro : -ln(x) / x
2 tend vers plus l'infini ; f(x) tend vers +oo.
En plus l'infini : par croissance comparée ln(x) / x
2 tend vers zéro et f(x) tend vers +oo.
On remarquera que :
ln(x)/x
2=1 /x *ln(x) / x pour tout x appartenant à l’intervalle ]0 ; +∞[.
Interpréter graphiquement la limite de f en 0.
L'axe des ordonnées est asymptote verticale à la courbe C.
b. Déterminer la fonction f ′, dérivée de f et construire le tableau de variation de la fonction f .
Dérivée de ln(x) / x
2.
On pose u = ln(x) et v = x
2 ; u' = 1 /x ; v' = 2x.
(u'v-v'u) / v
2 = (x-2xln(x)) / x
4 =(1-2ln(x) / x
3.
f '(x) = 1-
(1-2ln(x) / x3= (x3-1+2ln(x) ) / x3= u(x) / x3.
u(x) >0 sur ]1 ; +oo[ ; u(x) < 0 sur ]0 ; 1[.
x3 >0 sur ]0 ; +oo[.

3. a. Déterminer la position de C par rapport à la droite
D d’équation y = x.
f (x) - x =−ln(x) / x2 .
Si x appartient à ]0 ; 1[ : f(x)-x >0. C est au dessus de la droite D.
Si x appartient à ]1 ; +oo[ : f(x)-x < 0. C est en dessous de la droite D.
b. Calculer lim[ f (x)−x] lorsque x tend vers +∞.
Interpréter graphiquement ce résultat.
f (x) - x =−ln(x) / x2 .
En +oo, f(x)-x tend vers zéro.
La droite D est asymptote oblique à la courbe C.
Exercice 2. ( branche surveillance).
On considère la fonction f définie sur l’intervalle [0; 1] par : f (x) =2x e−x .
On admet que la fonction f est dérivable sur l’intervalle [0; 1].
Pour l’exercice on considérera que ln(2) ~ 0,69, e−0,1 ~0,90 et e−1 ~ 0,37.
1. a. Résoudre sur l’intervalle [0; 1] l’équation f (x) = x.
x = 2xe-x ; 1 = 2e-x ; 0,5 = e-x ;ln(0,5) = -x ; x = ln(2)~0,69.
b. Démontrer que, pour tout x appartenant à l’intervalle [0 ; 1],
f ′(x) = 2(1−x) e−x .
On pose u = 2x et v = e-x.
u' = 2 ; v' = -e-x.
u'v+v'u = 2e-x-2xe-x = 2(1-x)e-x.
c. Donner le tableau de variations de la fonction f sur l’intervalle [0; 1].
e-x étant positif, le signe de la dérivée est celui de 1-x.
Sur l’intervalle [0; 1], f(x) est positive et f(x) est croissante.

On considère la suite (un) définie par :
u0 = 0,1
un+1 = f (un) pour tout entier naturel n.
2. a. Démontrer par récurrence que, pour tout n entier naturel,
0<un < un+1 <1.
Initial : u1 = f(u0) = f(0,1) =0,2e-0,1 ~0,2 *0,9 ~0,18.
La propriété est vraie au rang 0.
Hérédité : 0<un < un+1 <1 est supposé vrai.
La fonction f étant strictement croissante sur [0 ; 1] :
f(0)<f(un) < f(un+1 )< f(1).
0 < un+1 < un+2 < 0,74.
0 < un+1 < un+2 < 1.
La propriété est vraie au rang n+1.
Conclusion : la propriété est vraie au rang 1 et héréditaire, elle est donc vraie pour tout entier naturel n.
b. En déduire que la suite (un) est convergente.
un < un+1, la suite est croissante et la suite est bornée par 1, donc elle converge.
c. Démontrer que la limite de la suite (un) est l= ln(2).
Pour n suffisamment grand : un = un+1 ;
l = f(l) =2 l exp(-l) ; la solution l = 0 n'est pas retenue car u0 = 0,1..
0,5 = exp(-l) ; ln(0,5) = -ln(2) = -l ; l = ln(2).