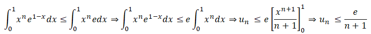
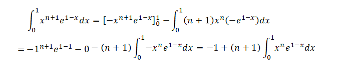
Exercice 1 5 points
On dispose d’un sac et de deux urnes A et B.
- Le sac contient 4 boules : 1 boule avec la lettre A et 3 boules avec la lettre B.
- L’urne A contient 5 billets : 3 billets de 50 euros et 2 billets de 10 euros.
- L’urne B contient 4 billets : 1 billet de 50 euros et 3 billets de 10 euros.
Un joueur prend au hasard une boule dans le sac :
- si c’est une boule avec la lettre A, il prend au hasard un billet dans l’urne A.
- si c’est une boule avec la lettre B, il prend au hasard un billet dans l’urne B.
On note les évènements suivants :
• A : le joueur obtient une boule avec la lettre A.
• C : le joueur obtient un billet de 50 euros.
1. Recopier et compléter l’arbre ci-dessous représentant la situation.
2. Quelle est la probabilité de l’évènement « le
joueur obtient une boule avec la lettre A et un
billet de 50 €?
0,25 x0,6= 0,15.
3. Démontrer que la probabilité P(C) est égale à
0,337 5.
Formule des probabilités totale : P(A n C) + P (non A n C) =0,15 + 0,1875=0,3375.
4. Le joueur a obtenu un billet de 10 euros.
L’affirmation « Il y a plus de 80% de chances qu’il ait au préalable obtenu une boule avec
la lettre B » est-elle vraie ? Justifier.
P
non C ( non A) =P(non A n non C) / P(non C) =
P(non A n non C) / (1- P(C))=0,75 x 0,75 / (1-0,3375)~0,85.
L'affirmation est vraie.
5. On note X
1 la variable aléatoire qui donne la somme, en euros, obtenue par le joueur.
Exemple : si le joueur obtient un billet de 50 €, on a X
1 = 50.
Montrer que l’espérance E(X
1) est égale à 23,50 et que la variance V (X
1) est égale à
357,75.
Loi de probabilité de X
1 :
ki
|
10
|
50
|
P(Xi = ki)
|
0,6625
|
0,3375
|
E(X
1) = 10 x0,6625 +50 x0,3375 =23,5.
V(X
1)=E(X
12) -[E(X
1)]
2 =(100 x0,6625 +50 x50 x0,3375)-23,5
2=357,75.
6. Après avoir remis la boule dans le sac et le billet dans l’urne où il a été pris, le joueur
joue une deuxième partie. On note X
2 la variable aléatoire qui donne la somme obtenue par le joueur lors de cette deuxième partie.
On note Y la variable aléatoire ainsi définie : Y = X
1 + X
2.
a. Montrer que E(Y ) = 47.
E(Y) = 2 E(X
1) = 2 x23,5 = 47.
b. Expliquer pourquoi on a V (Y ) = V (X
1)+V (X
2)
Le billet et la boule ont été remis ; les deux tirages sont donc indépendants. Les variables aléatoires X
1 et X
2 sont donc indépendantes.
V(Y) = V(X
1) + V(X
2) = 2 x357,75=715,5.
7. Le joueur joue de même une troisième, une quatrième,..., une centième partie.
On définit donc de la même façon les variables aléatoires X
3, X
4, ...,X
100.
On note Z la variable aléatoire définie par Z = X
1 + X
2 +...+ X
100.
Démontrer que la probabilité que Z appartienne à l’intervalle ]1950 ; 2750[ est supérieure ou égale à 0,75.
E(Z) = E(X
1) + E(X
2) +...+E(X
100)=100 x23,5 =2 350.
V(Z) = V(X1) + V(X2) +...+V(X100)=100 x357,75 =35 775.
L'inégalité de Bienaymé-Tchebychev s'écrit : P(|Z-E(Z)| < t) > 1-V(Z) / t2.
P( |Z-2350| < t ) > 1-35 775 / t2.
|Z-2350| < t est équivalent à : 2350-t < Z < 2350+t.
On cherche P(Z) appartient à ]1950 ; 2350[. On prend t = 400:
P(Z appartient à ]1950 ; 2750[ ) > 1- 35 775 / 4002.
1- 35 775 / 4002.~0,776 > 0,75.
Donc la probabilité que Z appartienne à l’intervalle ]1 950 ; 2 750[
est supérieure ou égale à 0,75.
Exercice 2 . Géométrie. 4
points.
Dans l’espace rapporté à un repère orthonormé , on considère les points :
A(4 ; −4 ; 4), B(5 ; −3 ; 2), C(6 ; −2; ; 3), D(5; 1; 1)
1. Démontrer que le triangle ABC est rectangle en B.
AB
2 =(5-4)
2+(-3-(-4))
2+(2-4)
2=1+1+4=6.
CB2 =(5-6)2+(-3-(-2))2+(2-3)2=1+1+1=3.
AC2 =(6-4)2+(-2-(-4))2+(3-4)2=4+4+1=9.
AC2 =AB2 +CB2 .
D'après la réciproque du théorème de Pythagore, le triangle ABC est rectangle en B.
2. Justifier qu’une équation cartésienne du plan (ABC) est :
x − y −8 = 0.

Les points A, B et C n'étant pas alignés, ils définissent un plan.
Leurs coordonnées vérifient toute équation cartésienne du plan (ABC).
x
A-y
A-8 = 4+4-8 =0 est vérifiée.
xB-yB-8 = 5+3-8 =0 est vérifiée.
xC-yC-8 = 6+2-8 =0 est vérifiée.
On note d la droite passant par le point D et orthogonale au plan (ABC).
a. Déterminer une représentation paramétrique de la droite d.
Coordonnées d'un vecteur directeur de la droite d : 1 ; -1 ; 0.
Représentation paramétrique de cette droite d :
x = t+x
D =
t +5 avec t réel.
y = -t +y
D =
-t+1.
z = z
D =
1.
b. On note H le projeté orthogonal du point D sur le plan (ABC).
Déterminer les coordonnées du point H.
Les coordonnées du point H vérifient à la fois l'équation cartésienne
du plan (ABC) et la représentation paramétrique de la droite d.
x
H-y
H-8=0.
t+5 -(-t+1)-8=0 ; 2t-4=0 ; t = 2.
xH= 2+5 =7 ; y
H = -2+1=-1 ; z
H = 1.
H( 7 ; -1 ; 1).
c. Montrer que DH = 2 *2
½.
DH
2 =(7-5)
2+ ( -1-1)
2+(1-1)
2=4+4=8= 2*2
2.
DH = 2 *2½.
4. a. Montrer que le volume de la pyramide ABCD est égal à 2.
On rappelle que le volume V d’une pyramide se calcule à l’aide de la formule :
V =
1
/3
×B ×h
où B est l’aire d’une base de la pyramide et h la hauteur correspondante.
Base : triangle ABC rectangle en B.
Aire de la base : AB * BC / 2 = 6
½ x 3
½ / 2 = 18
½ /2 =2
½ x 3 /2.
Hauteur DH = 2 x 2
½.
Volume de cette pyramide : V =
2½ x 3 /2 x 2 x 2½ / 3 =2.
b. On admet que l’aire du triangle BCD est égale à 42
½ /
2
.
En déduire la valeur exacte de la distance du point A au plan (BCD).
La distance du point A au plan (ABC), notée x, est la hauteur issue de A de la pyramide ABCD
Volume de la pyramide ABCD = aire du triangle BCD * x / 3=2.
x = 2 *3 *2 / 42
½ =2 * 6 / (6
½ *7
½)=2 * 6
½ *7
½ / 7=
2*42½ / 7.